Két Város Közötti Távolság





Tavolsagok Terkepen Legvonalban Es Autoval Kozlekedesi Terkep Magyarorszag

Tavolsagok Terkepen Legvonalban Es Autoval Kozlekedesi Terkep Magyarorszag

Matematika 7 Osztaly Sulinet Tudasbazis

Matematika 7 Osztaly Sulinet Tudasbazis

Telepules Tavolsag Matrix Psoft Informatikai Kft

Telepules Tavolsag Matrix Psoft Informatikai Kft

Szamitogepes Adatfeldolgozas Digitalis Tankonyvtar

Szamitogepes Adatfeldolgozas Digitalis Tankonyvtar

Pozsony Budapest Tavolsaga Terkepen Legvonalban Es Autoval Kozlekedesi Terkep Magyarorszag

Pozsony Budapest Tavolsaga Terkepen Legvonalban Es Autoval Kozlekedesi Terkep Magyarorszag

Az A Bizonyos 60 Km Hatvan Tortenete

Az A Bizonyos 60 Km Hatvan Tortenete

Az A Bizonyos 60 Km Hatvan Tortenete

Pecs Budapest Tavolsaga Autoval Kozlekedesi Terkep Magyarorszag

Pecs Budapest Tavolsaga Autoval Kozlekedesi Terkep Magyarorszag

Index Mindekozben 18 Ezer Kilometerrel Arrebb Uj Zelandon Talaltak Meg A Rajnaba Dobott Palackba Zart Uzenetet

Index Mindekozben 18 Ezer Kilometerrel Arrebb Uj Zelandon Talaltak Meg A Rajnaba Dobott Palackba Zart Uzenetet

Labdarugas 7400 Km Es 32 Ora Utazas Haromgolos Zakoert Nso

Labdarugas 7400 Km Es 32 Ora Utazas Haromgolos Zakoert Nso

Zagrab Budapest Tavolsaga Terkepen Legvonalban Es Autoval Kozlekedesi Terkep Magyarorszag

Zagrab Budapest Tavolsaga Terkepen Legvonalban Es Autoval Kozlekedesi Terkep Magyarorszag

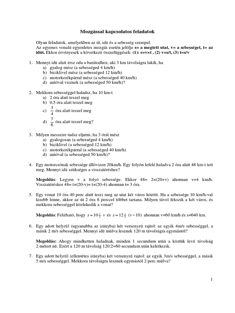
Mozgassal Kapcsolatos Feladatok

Mozgassal Kapcsolatos Feladatok

Kecskemet Budapest Tavolsaga Terkepen Legvonalban Es Autoval Kozlekedesi Terkep Magyarorszag

Kecskemet Budapest Tavolsaga Terkepen Legvonalban Es Autoval Kozlekedesi Terkep Magyarorszag

Vaja Helyett Bajara Iranyitotta Az Operator A Mentoket Mateszalkaleaks

Vaja Helyett Bajara Iranyitotta Az Operator A Mentoket Mateszalkaleaks

Szeged Budapest Tavolsaga Autoval Kozlekedesi Terkep Magyarorszag

Szeged Budapest Tavolsaga Autoval Kozlekedesi Terkep Magyarorszag

Mozgassal Kapcsolatos Feladatok Pdf Free Download

Mozgassal Kapcsolatos Feladatok Pdf Free Download

Nyolcezer Hu Mas Szemszogbol

Nyolcezer Hu Mas Szemszogbol

Guilin A Mesebeli Taj

Guilin A Mesebeli Taj

Ember A Termeszetben 3 Osztaly Sulinet Tudasbazis

Ember A Termeszetben 3 Osztaly Sulinet Tudasbazis

Gyor Budapest Tavolsaga Autoval Kozlekedesi Terkep Magyarorszag

Gyor Budapest Tavolsaga Autoval Kozlekedesi Terkep Magyarorszag

Mozgassal Kapcsolatos Feladatok Pdf Free Download

Mozgassal Kapcsolatos Feladatok Pdf Free Download

Source : pinterest.com